黃倬英副教授(地理環境資源學系/研究所)及其研究團隊,利用MODIS(Moderate Resolution Imaging Spectroradiometer)衛星資料、氣候資料的空間分析、多元統計及物候分析,確認台灣島嶼地表植被生長反應不只與受到區域氣候條件影響,不同年間的變異也和大尺度氣候振盪聖嬰現象(ENSO; El-Niño-Southern Oscillation)具有關聯。相關的研究成果已刊登在國際學術期刊 Environmental Research Letters(12/5/2013)及Journal of Mountain Science (3/13/2014)。
台灣島位處西北太平洋及大陸交界,熱帶及副熱帶季風氣候加上海拔劇升至近4000公尺,具有相當多樣的氣候條件及生態環境,一般認為溫度適中和雨量充足不至於限制植被生長;雖然過去的氣候分析也指出台灣地區春季雨量多寡與和太平洋聖嬰現象(ENSO)有關,但對於生態環境的影響為何並沒有太多掌握,此春季生長季前的雨量多寡不僅影響農業及經濟活動,也可能衝擊自然植被生長活動。因此研究團隊先利用高時間解析度的MODIS影像,透過主成份分析(PCA, principal component analysis)得到多個包含高低解釋變異的可用訊息,配合比對植被、區域氣候(溫度、雨量、乾旱等)及代表大尺度氣候振盪的指標並找出關聯,除了前三個土地覆蓋、森林及農地植被生長變化的主成份之外,第四及第五個主成份的空間型態和時序變化,正與代表乾旱的標準降雨指數(SPI3; standardized precipitation index with 3-month scale)及南方振盪指數(SOI; Southern Oscillation Index)具有顯著關係(圖1),其空間分布型態及時間演變意謂台灣地表植被年間生長變異與地區氣候及大尺度大氣循環交互作用強弱和區域差異。
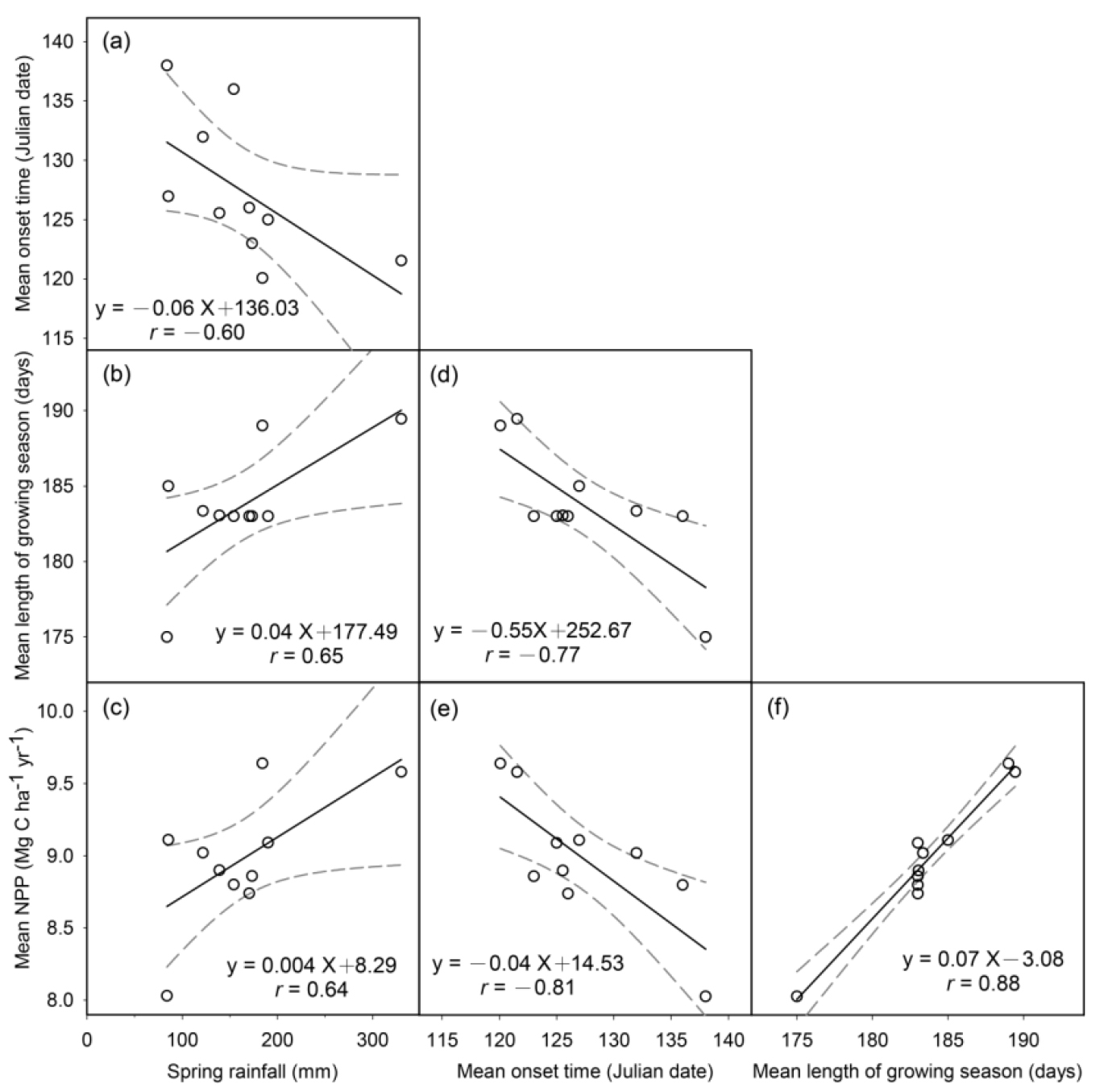
團隊進一步聚焦在影響台灣甚大的春季雨量,並應用物候分析(生長季開始時間、結束時間和長度)及生產力資料的輔助,通常前一年冬季反聖嬰(聖嬰)事件主導時,台灣地區隔年春季將變得相對乾燥(溼潤),研究結果證實台灣地區春季雨量空間分布對生長季開始時間有關鍵性的影響,當春季(2–3月)累積雨量低於40 mm生長季開始時間明顯延遲(如2002及2003年),隨後的生長季結束時間延後和生長季長度縮短,生產力在乾旱的年份也因此受到衝擊而降低(圖2及圖3),這不僅是第一個將台灣島嶼地表植被生長活動和變異與區域氣候及大尺度氣候擾動關係加以釐清的研究成果,同時也找到季節性雨量影響地表物候的證據。過去的探討大多著重在全球及大陸尺度的分析,但未來氣候變遷造成的極端天氣及大尺度氣候擾動頻率的改變,首當其衝即是位處海陸交界相對敏感的島嶼,台灣的例子正可以做為世界上類似地理環境的島嶼地區重要的參考指標。 |
References:
Chang CT, Wang HC, and Huang CY* (2013) Impacts of vegetation onset time on the net primary productivity in a mountainous island in Pacific Asia. Environmental Research Letters, 8, 045030.
Chang CT, Wang HC, and Huang CY* (2014) Retrieving multi-scale climatic variations from high dimensional time-series MODIS green vegetation cover in a tropical/subtropical mountainous island. Journal of Mountain Science, 11(2), 407-420. |

圖1 應用MODIS-PV資料及主成份分析得到2001–2011年間第四及第五個主成份之空間與時間型態,左圖代表空間特徵向量(eigenvector),右圖則表示時序變化之負荷量(loadings)與相關變數之關聯。
(資料來源:Chang et al., 2014)

圖2 由上而下分別為2001至2010年間春季雨量(2-3月)、光合作用植物覆蓋率(PV)、生長季開始時間(onset)、生長季結束時間(offset)、生長季長度(length)及淨初級生產力(NPP)。
(資料來源:Chang et al., 2013)

圖3 春季雨量與物候參數(生長季開始、結束和長度)及淨初級生產力的關係。
(資料來源:Chang et al., 2013)
|